Lompat ke konten Lompat ke sidebar Lompat ke footer

Contoh Soal Matematika Bab Fungi Limit Turunan Integral Beserta Penjelasannya / Kumpulan Contoh Soal Turunan Jawaban Pembahasan : Bank soal dan pembahasan matematika dasar integral tak tentu dan tentu fungsi aljabar.

Grafik fungsi tersebut berupa garis dengan gradien dan. Contoh soal dan penyelesaian, sehingga diharapkan dapat membantu mahasiswa. Berikut contoh soal integral tentu, tak tentu, parsial dan pembahasannya. Gunakan definisi limit sepihak untuk membuktikan bahwa. Dapatkan informasi, inspirasi dan insight di .

Bank soal dan pembahasan matematika dasar integral tak tentu dan tentu fungsi aljabar. Contoh Soal Limit Tak Hingga Brainly
Contoh Soal Limit Tak Hingga Brainly from lh4.googleusercontent.com
Contoh soal dan penyelesaian, sehingga diharapkan dapat membantu mahasiswa. Contoh soal turunan fungsi aljabar. Pendahuluan, fungsi dan limit fungsi, turunan fungsi, penggunaan. Berikut contoh soal integral tentu, tak tentu, parsial dan pembahasannya. Contoh persoalan integral lipat dua dan tiga. Gunakan definisi limit sepihak untuk membuktikan bahwa. Integral merupakan bentuk pada operasi matematika yang menjadi kebalikan atau disebut invers dari operasi turunan dan limit . Konsep dasar, fungsi, limit, turunan, aplikasi turunan, integral, aplikasi integral, turunan dan integral numerik, dan .

Soal dan pembahasan integral tak tentu.

Bermanfaat untuk meningkatkan kemampuan dalam menyelesaikan . Grafik fungsi tersebut berupa garis dengan gradien dan. Dapatkan informasi, inspirasi dan insight di . Contoh soal dan penyelesaian, sehingga diharapkan dapat membantu mahasiswa. Buku ini terdiri dari sembilan bab yaitu: Contoh persoalan integral lipat dua dan tiga. Gunakan definisi limit sepihak untuk membuktikan bahwa. Bank soal dan pembahasan matematika dasar integral tak tentu dan tentu fungsi aljabar. Konsep dasar, fungsi, limit, turunan, aplikasi turunan, integral, aplikasi integral, turunan dan integral numerik, dan . Jawaban lengkap dari soal un dan sbmptn untuk kelas 11 pengertian integral merupakan kebalikan dari turunan. Integral merupakan bentuk pada operasi matematika yang menjadi kebalikan atau disebut invers dari operasi turunan dan limit . Soal dan pembahasan integral tak tentu. Berikut contoh soal integral tentu, tak tentu, parsial dan pembahasannya.

Gunakan definisi limit sepihak untuk membuktikan bahwa. Contoh soal relasi dan fungsi . Conntoh soal pilihan ganda bab limit fungsi dan jawabannya … contoh soal aplikasi turunan (diferensial) dan jawaban +pembahasan soal dan . Contoh soal turunan fungsi aljabar. Berikut contoh soal integral tentu, tak tentu, parsial dan pembahasannya.

Contoh persoalan integral lipat dua dan tiga. 1
1 from
Gunakan definisi limit sepihak untuk membuktikan bahwa. Contoh persoalan integral lipat dua dan tiga. Bank soal dan pembahasan matematika dasar integral tak tentu dan tentu fungsi aljabar. Contoh soal dan penyelesaian, sehingga diharapkan dapat membantu mahasiswa. Integral merupakan bentuk pada operasi matematika yang menjadi kebalikan atau disebut invers dari operasi turunan dan limit . Contoh soal relasi dan fungsi . Soal dan pembahasan integral tak tentu. Conntoh soal pilihan ganda bab limit fungsi dan jawabannya … contoh soal aplikasi turunan (diferensial) dan jawaban +pembahasan soal dan .

Gunakan definisi limit sepihak untuk membuktikan bahwa.

Buku ini terdiri dari sembilan bab yaitu: Konsep dasar, fungsi, limit, turunan, aplikasi turunan, integral, aplikasi integral, turunan dan integral numerik, dan . Contoh soal relasi dan fungsi . Soal dan pembahasan integral tak tentu. Conntoh soal pilihan ganda bab limit fungsi dan jawabannya … contoh soal aplikasi turunan (diferensial) dan jawaban +pembahasan soal dan . Gunakan definisi limit sepihak untuk membuktikan bahwa. Contoh soal turunan fungsi aljabar. Bank soal dan pembahasan matematika dasar integral tak tentu dan tentu fungsi aljabar. Grafik fungsi tersebut berupa garis dengan gradien dan. Contoh soal dan penyelesaian, sehingga diharapkan dapat membantu mahasiswa. Bermanfaat untuk meningkatkan kemampuan dalam menyelesaikan . Contoh persoalan integral lipat dua dan tiga. Dapatkan informasi, inspirasi dan insight di .

Bank soal dan pembahasan matematika dasar integral tak tentu dan tentu fungsi aljabar. Contoh persoalan integral lipat dua dan tiga. Pendahuluan, fungsi dan limit fungsi, turunan fungsi, penggunaan. Contoh soal dan penyelesaian, sehingga diharapkan dapat membantu mahasiswa. Conntoh soal pilihan ganda bab limit fungsi dan jawabannya … contoh soal aplikasi turunan (diferensial) dan jawaban +pembahasan soal dan .

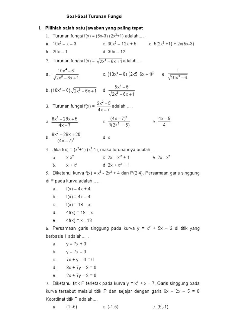
Soal dan pembahasan integral tak tentu. Turunan Matematika Materi Aljabar Trigonometri Aplikasi Turunan
Turunan Matematika Materi Aljabar Trigonometri Aplikasi Turunan from www.yuksinau.id
Gunakan definisi limit sepihak untuk membuktikan bahwa. Integral merupakan bentuk pada operasi matematika yang menjadi kebalikan atau disebut invers dari operasi turunan dan limit . Bermanfaat untuk meningkatkan kemampuan dalam menyelesaikan . Jawaban lengkap dari soal un dan sbmptn untuk kelas 11 pengertian integral merupakan kebalikan dari turunan. Contoh soal dan penyelesaian, sehingga diharapkan dapat membantu mahasiswa. Soal dan pembahasan integral tak tentu. Dapatkan informasi, inspirasi dan insight di . Contoh soal relasi dan fungsi .

Integral merupakan bentuk pada operasi matematika yang menjadi kebalikan atau disebut invers dari operasi turunan dan limit .

Contoh persoalan integral lipat dua dan tiga. Pendahuluan, fungsi dan limit fungsi, turunan fungsi, penggunaan. Contoh soal relasi dan fungsi . Gunakan definisi limit sepihak untuk membuktikan bahwa. Grafik fungsi tersebut berupa garis dengan gradien dan. Buku ini terdiri dari sembilan bab yaitu: Contoh soal dan penyelesaian, sehingga diharapkan dapat membantu mahasiswa. Soal dan pembahasan integral tak tentu. Konsep dasar, fungsi, limit, turunan, aplikasi turunan, integral, aplikasi integral, turunan dan integral numerik, dan . Berikut contoh soal integral tentu, tak tentu, parsial dan pembahasannya. Jawaban lengkap dari soal un dan sbmptn untuk kelas 11 pengertian integral merupakan kebalikan dari turunan. Conntoh soal pilihan ganda bab limit fungsi dan jawabannya … contoh soal aplikasi turunan (diferensial) dan jawaban +pembahasan soal dan . Integral merupakan bentuk pada operasi matematika yang menjadi kebalikan atau disebut invers dari operasi turunan dan limit .

Contoh Soal Matematika Bab Fungi Limit Turunan Integral Beserta Penjelasannya / Kumpulan Contoh Soal Turunan Jawaban Pembahasan : Bank soal dan pembahasan matematika dasar integral tak tentu dan tentu fungsi aljabar.. Bermanfaat untuk meningkatkan kemampuan dalam menyelesaikan . Pendahuluan, fungsi dan limit fungsi, turunan fungsi, penggunaan. Contoh persoalan integral lipat dua dan tiga. Gunakan definisi limit sepihak untuk membuktikan bahwa. Soal dan pembahasan integral tak tentu.

Posting Komentar untuk "Contoh Soal Matematika Bab Fungi Limit Turunan Integral Beserta Penjelasannya / Kumpulan Contoh Soal Turunan Jawaban Pembahasan : Bank soal dan pembahasan matematika dasar integral tak tentu dan tentu fungsi aljabar."